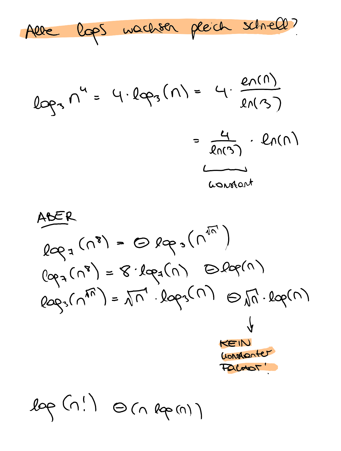
Wachsen alle Logarithmen gleich schnell?
Wir betrachten zunächst:
Die Konstante ist konstant, daher gilt:
→ Logarithmen mit unterschiedlichen Basen unterscheiden sich nur um einen konstanten Faktor.
Achtung Exponenten
Beispiele:
\log_7(n^8) = 8 \cdot \log_7(n) = \Theta(\log(n))
2. $$ \log_3(n^{\sqrt{n}}) = \sqrt{n} \cdot \log_3(n) = \Theta(\sqrt{n} \cdot \log(n))Hier multipliziert sich der Logarithmus mit einem nicht-konstanten Faktor ().
Daher gilt: kein konstanter Faktor!
