CS Notes

Home

❯

1st Semester

❯

Diskrete Mathematik

❯

Notes

❯

Kryptographie und Codes

❯

RSA Public Key Verfahren

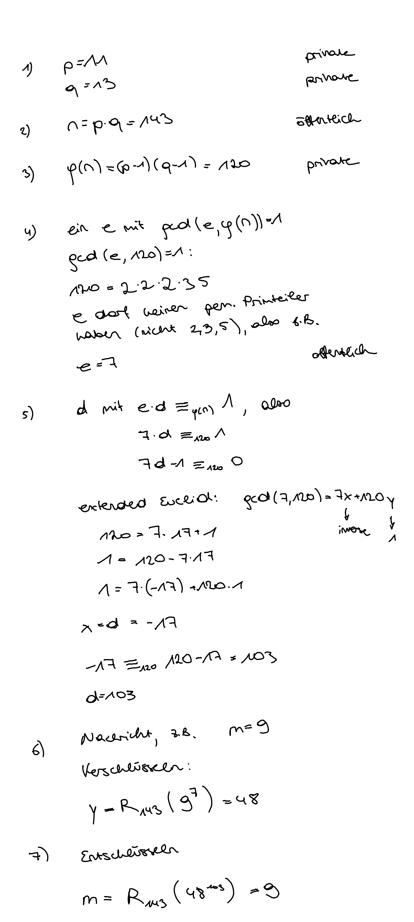
RSA Public-Key Verfahren

Vorlesung Vorlesung von letztem Jahr


Graph View

  • GitHub
  • About me